Województwo łódzkie wzbogaciło się o ponad 500 lekarzy.
źródło: https://radiolodz.pl/uroczystosc-wreczenia-praw-wykonywania-zawodu-lekarza-w-teatrze-wielkim-prawdziwe-zawodowe-zycie-zaczyna-sie-dopiero-teraz-zdjecia,549807/
dodano: 2025-09-12 20:00:19
Inne znaleziska:
Koncert i uroczystość wręczenia tytułów honorowych i zasłużonych obywateli
swidnica24.pl
Z okazji107. rocznicy Odzyskania Niepodległości gmina Świdnica  zaprasza mieszkańców na koncert „Kobiety o Niepodległości” w wykonaniu Doroty Kołodziej & Golden Gate String Quartet. Podczas dorocznego Święta Odzyskania Niepodległości wręczone zostaną...
swidnica24.pl, 2025-10-31 17:30:18
2025-10-31 17:30:18
Rzecznik Praw Uczniowskich i katalog uczniowskich praw coraz bliżej. MEN przedstawiło zaktualizowany projekt ustawy
edukacja.rp.pl
Jednym z najważniejszych elementów projektu jest powołanie nowej struktury rzeczników praw uczniowskich na kilku poziomach.
edukacja.rp.pl, 2025-11-05 21:38:34
2025-11-05 21:38:34
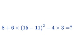
Znasz kolejność wykonywania działań? Dobrze się zastanów
hub.pl
Wydaje się banalna, bo opiera się na wiedzy, którą każdy powinien pamiętać ze szkoły podstawowej. A mimo to ta krótka zagadka matematyczna regularnie dzieli internautów. Wszystko przez jeden pozornie nieistotny szczegół: prawidłową kolejność wykonywa...
hub.pl, 2026-02-03 06:44:04
2026-02-03 06:44:04
Dowódca śląskiej brygady WOT odsunięty od wykonywania obowiązków, a oficer z Kuźni Raciborskiej z zarzutami wydalony ze służby
naszraciborz.pl
- Skandal w brygadzie Wojsk Obrony Terytorialnej. Zarzuty o gwałt na niepełnoletniej i próba tuszowania sprawy. MON reaguje po pytaniach Onetu - donosi portal. Sprawa dotyczy byłego już zastępcy dowódcy kompanii wsparcia WOT w Kuźni Raciborskiej. Jes...
naszraciborz.pl, 2026-02-11 00:38:14
2026-02-11 00:38:14
Duże biuro podróży z zakazem wykonywania działalności w Polsce! Ale… dalej sprzedaje wycieczki
fly4free.pl
Śląskie biuro podróży Rego-Bis otrzymało „zakaz wykonywania działalności” – jak czytamy w „Rzeczpospolitej”, taka adnotacja znalazła się w centralnej ewidencji organizatorów turystyki. Sama marka, która istnieje na rynku od 32 lat, nie znika jednak z...
fly4free.pl, 2026-02-11 10:56:19
2026-02-11 10:56:19
BCG bez zmian. Czy stanowisko konsultanta krajowego w neonatologii zakończy dyskusję o kolejności wykonywania szczepień?
alertmedyczny.pl
Konsultant neonatologii potwierdza: BCG pozostaje bez zmian, a pilotaż SCID wymaga dalszej debaty ekspertów. Artykuł BCG bez zmian. Czy stanowisko konsultanta krajowego w neonatologii zakończy dyskusję o kolejności wykonywania szczepień? pochodzi z s...
alertmedyczny.pl, 2026-02-11 11:34:07
2026-02-11 11:34:07
Znane w Polsce biuro podróży z zakazem wykonywania działalności. Długi mają sięgać milionów
biznesinfo.pl
Sytuacja jednego z najbardziej rozpoznawalnych graczy na polskim rynku turystycznym stała się jasna w najgorszy możliwy sposób. Biuro podróży, które w samym 2024 roku wysłało na urlop ponad 31 tysięcy Polaków, otrzymało oficjalny i natychmiastowy zak...
biznesinfo.pl, 2026-02-15 15:23:07
2026-02-15 15:23:07
​Proste działanie, a tyle pomyłek. Sprawdź, czy znasz kolejność wykonywania działań
top.pl
Na pierwszy rzut oka wygląda banalnie, ale w praktyce wiele osób podaje zły wynik. To krótkie działanie matematyczne pokazuje, jak łatwo zapomnieć o podstawowych zasadach liczenia. Sprawdź, czy potrafisz je rozwiązać poprawnie i czy pamiętasz kolejno...
top.pl, 2026-03-09 10:36:05
2026-03-09 10:36:05
Dojrzewanie wielkim wygranym gali wręczenia nagród Emmy! Kto jeszcze zgarnął statuetki?
moviesroom.pl
W niedzielny wieczór poznaliśmy laureatów najważniejszych nagród Primetime Emmy Awards. Tegoroczną ceremonię poprowadził komik Nate Bargatze, a jednym z wielkich zwycięzców okazał się być serial limitowany Dojrzewanie.Wydawało się,
moviesroom.pl, 2025-09-15 08:19:13
2025-09-15 08:19:13
Gala wręczenia nagrody IPN Semper Fidelis
kresy24.pl
W środę, 5 listopada 2025 r. o godz. 12.00 w Pałacu Rzeczypospolitej w Warszawie (pl. Krasińskich 3/5) odbędzie się uroczysta gala wręczenia nagrody IPN Semper Fidelis. Wydarzenie zostało objęte Patronatem Honorowym Prezydenta Rzeczypospolitej Polski...
kresy24.pl, 2025-11-03 14:40:30
2025-11-03 14:40:30